《GB/T 42300-2022 精細化工反應安全風險評估規范》于2022年12月30日起正式實施,作為精細化工反應安全風險評估領域首個正式國家標準,相較于此前的征集意見版在術語和定義、評估對象、測試與評估內容、數據測試和求取方法等重要內容上都有了變化!
“術語和定義”變化
對于常壓反應體系,GB/T 42300-2022更多考慮了混合物的情況,MTT相關取值由沸點更改為泡點。
意見稿
舊
3.7 技術最高溫度
maximum temperature for technical reason
對于常壓體系,技術最高溫度為反應體系的沸點;對于密封體系,技術最高溫度為反應體系允許的最大壓力對應的溫度,并結合反應體系各組成部分的設計參數綜合考慮;用MTT表示。
新國標
新
3.10 技術最高溫度
maximum temperature for technical reason
MTT
反應體系溫度允許的最高值。
注:常壓反應體系,技術最高溫度取設計溫度和體系泡點的低值;密閉反應體系,技術最高溫度取體系允許最大壓力對應的溫度和設計溫度的低值。
“評估對象”變化
1. 明確反應安全風險評估適用范圍包括間歇、半間歇和連續釜式反應。
意見稿
舊
本文件適用于精細化工反應安全風險的評估。
本文件規定了精細化工反應安全風險評估范圍、評估內容、參數測試方法、數據求取方法、風險評估標準、評估結果運用、評估報告要求。
新國標
新
本文件規定了精細化工反應安全風險評估要求、評估基礎條件、數據測試和求取方法、評估標準和評估報告要求。
本文件適用于精細化工間歇、半間歇和連續釜式反應安全風險評估。
2. GB/T 42300-2022評估范圍更廣,且對重點監管危險化工工藝要求更為嚴格,對于新建精細化工企業工藝也提出完成反應安全風險評估明確要求。
意見稿
舊
4.1 重點評估對象
4.1.1 國內首次使用的新工藝、新配方投入工業化生產的以及國外首次引進的新工藝且未進行過反應安全風險評估的。
4.1.2 現有的工藝路線、工藝參數或裝置能力發生變更的工藝,且沒有反應安全風險評估報告的。
4.1.3 因為反應工藝問題發生過生產安全事故的工藝。
4.1.4 涉及硝化、氯化、氟化、重氮化、過氧化工藝的精細化工生產裝置。
4.1.5 除上述情形外,屬于精細化工的重點監管危險化工工藝及金屬有機物合成反應(包括格氏反應)并且企業未明確掌握其反應安全風險的。
新國標
新
4.1 評估對象
4.1.1 國內首次使用并投入工業化生產的新工藝、新配方,從國外首次引進且未進行過反應安全風險評估的工藝。
4.1.2 現有的工藝路線、工藝參數或裝置能力發生變更且未開展反應安全風險評估的工藝。
4.1.3 因為反應工藝問題發生過生產安全事故的工藝。
4.1.4 屬于精細化工重點監管危險化工工藝及金屬有機物合成反應(包括格氏反應)。
4.1.5 新建精細化工企業應在編制可行性報告或項目建議書前,完成反應安全風險評估。
“測試與評估內容”變化
生產工藝全流程的反應安全風險評估正式列入評估范圍;全流程具體內容相較于征求意見稿,未進行明確說明,但應包括且不限于意見稿中提及的蒸餾、分餾、干燥、儲存等單元操作的風險評估。
意見稿
舊
4.2 測試與評估內容
4.2.1 反應安全風險評估應包括物料分解熱評估、失控反應嚴重度評估、失控反應可能性評估、失控反應風險可接受程度評估和反應工藝危險度評估。
4.2.2 反應安全風險評估應對原料、中間產品、產品、副產物、廢棄物,以及蒸餾、分餾等分離過程涉及的各相關物料進行熱穩定測試;對化學反應過程開展熱力學和動力學研究測試與分析。
4.2.3 涉及硝化、氯化、氟化、重氮化、過氧化工藝的精細化工生產裝置應完成有關產品生產工藝全流程的反應安全風險評估,并對相關原料、中間產品、產品、副產物、廢棄物,以及蒸餾、分餾等分離過程涉及的各相關物料進行熱穩定性測試和蒸餾、干燥、儲存等單元操作的風險評估。
新國標
新
4.2 測試與評估內容
4.2.1 反應安全風險評估應包括物料分解熱評估、失控反應嚴重度評估、失控反應可能性評估、失控反應風險可接受程度評估和反應工藝危險度評估。
4.2.2 反應安全風險評估應對原料、催化劑、中間產品、產品、副產物、廢棄物,以及蒸餾、分餾處理過程涉及的各相關物料進行熱穩定性測試,對化學反應過程開展熱力學和動力學研究測試與分析。
4.2.3 涉及硝化、氯化、氟化、重氮化、過氧化工藝的精細化工生產裝置應完成有關產品生產工藝全流程的反應安全風險評估。
“數據測試和求取方法”變化
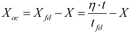
對于半間歇反應過程,化學計量點之前的熱累積度計算公式中,時間比更改為質量比,手動投料需關注標準變化。
意見稿
舊
6.5 熱失控時工藝反應能夠達到的最高溫度,MTSR
6.5.1 對于間歇、半間歇的恒溫反應過程,熱失控時工藝反應能夠達到的最高溫度MTSR是單位時間內熱累積導致體系的絕熱溫升與工藝溫度之和。恒溫反應過程的工藝溫度如果存在波動范圍,取波動范圍的上限值。
間歇反應過程,熱失控時工藝反應能夠達到的最高溫度MTSR通過計算獲取,計算公式如下:
半間歇反應過程,熱失控時工藝反應能夠達到的最高溫度MTSR通過計算獲取,計算公式如下:

化學計量點之后,

化學計量點之前,

新國標
新
6.4 工藝反應能夠達到的最高溫度
6.4.1 對于間歇、半間歇的恒溫反應過程,工藝反應能夠達到的最高溫度(MTSR)是冷卻失效的情況下,熱累積導致體系的絕熱溫升與工藝溫度之和。恒溫反應過程的工藝溫度如果存在波動范圍,取波動范圍的上限值。
間歇反應過程,MTSR通過公式(2)計算。
半間歇反應過程,冷卻失效時,立即停止加料,MTSR通過公式(3)計算。
注:化學計量點之后,
化學計量點之前,
此標準中有關數據測試和求取方法部分規范了對于物料分解熱研究的適用儀器,尤其是克級非均相混合物料的熱穩定性測試,使用快速篩選量熱儀進行評估;而TMRad等關鍵基礎數據,要求使用絕熱加速量熱儀、差示掃描量熱儀等。
// 精細化工反應安全風險評估解決方案

// 讓化工生產和日常生活更安全、更高效
仰儀科技從屬于浙儀集團旗下實驗室事業群,是專注于化工領域測試需求的國家高新技術企業。我們擁有成熟的精細化工反應安全風險測試儀器與實驗室建設方案,是化工領域測試儀器設備、解決方案的專業開發者。